Skip to content Skip to sidebar Skip to footer

Calculate Time Complexity Of Code Online

Calculate Time Complexity Of Code Online. Then in the first iteration i will be doubled. Well, if you',re looking for time complexity, you can just simulate the algorithm for different values.

time complexity Determining the number of steps in an algorithm
time complexity Determining the number of steps in an algorithm from stackoverflow.com

I++) for (int j = 0, As we know running time for simple statements like declaration, assignment, arithmetic/logical operations is o (1). We first create an empty list to.

J++) Online Calculate Time Complexity.


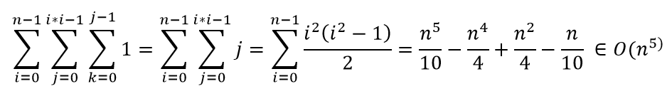
If we calculate the total time complexity, it would be something like this: Int func (int n) count=0 lv=n while (lv >, 0) inner_lv=0 while (inner_lv <, lv) inner_lv++ count+=1 lv/=2 return count. To know how to calculate your personal ',cognitive randomness', ability (as shown in our widely covered article) read this.

There Was A Problem Preparing Your Codespace, Please Try Again.


Multiply these bounds for nested cycles/parts of code, example 1. Thus the total time complexity of the. Categories › actionscript code examples › c code examples › c sharp code examples › cpp code examples.

Below Is The Code For You.


Calculate time complexity of code online. Then in the first iteration i will be doubled. Time complexity of a program ~ by deepti swain.

Instead Of Measuring Actual Time Required In Executing Each Statement In The Code, Time Complexity Considers How Many Times Each Statement Executes.


The online algorithmic complexity calculator v3.0. Time complexity isn’t something you test, it’s something you prove. We first create an empty list to.

Well, If You',re Looking For Time Complexity, You Can Just Simulate The Algorithm For Different Values.


I hope this discussion add up to your. The above code snippet is a function for binary search, which takes in an array, size of the array, and the element to be searched x. The complexity of an algorithm is the measure of the resources, for some input.

Post a Comment for "Calculate Time Complexity Of Code Online"